二項分布
確率関数
定義は次のとおりである。
確率変数がベルヌーイ分布に従うとすると、
は二項分布に従う。
期待値および分散はベルヌーイ分布の倍として覚えておくと便利。二項分布は、
と表現する場合もある。
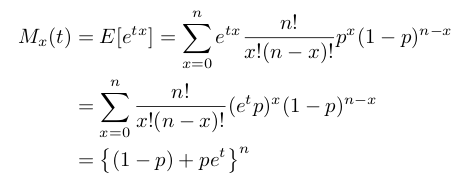
モーメント母関数
モーメント母関数は次のとおりである。式の整理については、後述する二項定理
を使う。

期待値
定義は次のとおりである。
導出は次のとおりである。
とすると、

二項定理を使って変形している。
分散
定義は次のとおりである。
導出は次のとおりである。なお、を求めてから、分散
を求める。


その他
上記導出に用いた二項定理は次のとおり。

モーメント母関数を用いた期待値と分散
の導出は次のとおり。


あまり厳密じゃない事に注意。
参考文献

- 作者: 稲垣宣生
- 出版社/メーカー: 裳華房
- 発売日: 2003/02/25
- メディア: 単行本
- 購入: 2人 クリック: 14回
- この商品を含むブログ (10件) を見る

- 作者: 鈴木武,山田作太郎
- 出版社/メーカー: 内田老鶴圃
- 発売日: 1996/04
- メディア: 単行本
- クリック: 3回
- この商品を含むブログ (4件) を見る